Lattice Quantum Chromodynamics

Some selected publications

  • Parton distribution functions on the lattice
    Reconstruction of light-cone parton distribution functions from lattice QCD simulations at the physical point
    Constantia Alexandrou, Krzysztof Cichy, Martha Constantinou, Karl Jansen, Aurora Scapellato, Fernanda Steffens Published in Phys.Rev.Lett. 121 (2018) 11, 112001
    arXiv:1803.02685

    Parton distribution functions from the lattice at the physical pion mass
  • Figure: Comparison of unpolarized PDF at momenta 6π/L (green band), 8π/L (orange band), 10π/L (blue band), and ABMP16 (NNLO), NNPDF (NNLO) and CJ15 (NLO) phenomenological curves.

    Abstract
    We present the unpolarized and helicity parton distribution functions calculated within lattice QCD simulations using physical values of the light quark mass. Non-perturbative renormalization is employed and the lattice data are converted to the MSbar-scheme at a scale of 2 GeV. A matching process is applied together with target mass corrections leading to the reconstruction of light-cone parton distribution functions. For both cases we find a similar behavior between the lattice and phenomenological data, and for the polarized PDF a nice overlap for a range of Bjorken-x values. This presents a major success for the emerging field of direct calculations of quark distributions using lattice QCD.


  • First nucleon structure paper at the physical point
    Nucleon and pion structure with lattice QCD simulations at physical value of the pion mass
    A. Abdel-Rehim, C. Alexandrou, M. Constantinou, P. Dimopoulos, R. Frezzotti, K. Hadjiyiannakou, K. Jansen, Ch. Kallidonis, B. Kostrzewa, G. Koutsou, M. Mangin-Brinet, M. Oehm, G. C. Rossi, C. Urbach, U. Wenger
    Published in Phys.Rev.D 92 (2015) 11, 114513
    arXiv:1507.04936

    An ETMC effort for computing nucleon structure at the physical point
  • Figure: The ratio of the nucleon mass to the pion mass as a function of the pion mass squared. For determining the pion mass squared the scale is set using the nucleon mass at the physical point. The fit only used the Nf =2+1+1ensembles (filledcircles, diamonds and squares). The plot also shows the Nf = 2 TMF results (open circles, diamonds and squares) and the Nf = 2 ensemble with a clover term at the physical point (filled triangle). For the latter action (Nf = 2 with a clover term) we restrict our analysis of nucleon observables to the ensemble simulated at a physical value of the pion mass only.

    Abstract
    We present results on the nucleon scalar, axial and tensor charges as well as on the momentum fraction, and the helicity and transversity moments. The pion momentum fraction is also presented. The computation of these key observables is carried out using lattice QCD simulations at a physical value of the pion mass. The evaluation is based on gauge configurations generated with two degenerate sea quarks of twisted mass fermions with a clover term. We investigate excited states contributions with the nucleon quantum numbers by analyzing three sink-source time separations. We find that, for the scalar charge, excited states contribute significantly and to a less degree to the nucleon momentum fraction and helicity moment. Our analysis yields a value for the nucleon axial charge agrees with the experimental value.


  • Our first work on parton distribution functions on the lattice
    A Lattice Calculation of Parton Distributions
    Constantia Alexandrou, Krzysztof Cichy, Vincent Drach, Elena Garcia-Ramos, Kyriakos Hadjiyiannakou, Karl Jansen, Fernanda Steffens, Christian Wiese
    Published in Phys.Rev.D 92 (2015) 014502
    arXiv:1504.07455

    Paioneering work to obtain parton distributiion functions on the lattice
  • Figure: Quasidistribution, PDF without and with subtracting the mass correction, and final PDF q(0), left: P3 = 4π/L, right: P3 = 6π/L, from top to bottom: 0 steps, 2 steps, 5 steps of HYP smearing, comparison with phenomenological u(x) − d(x) from (MSTW, CJ12, ABM11).

    Abstract
    We report on our exploratory study for the direct evaluation of the parton distribution functions from lattice QCD, based on a recently proposed new approach. We present encouraging results using Nf = 2 + 1 + 1 twisted mass fermions with a pion mass of about 370 MeV. The focus of this work is a detailed description of the computation, including the lattice calculation, the matching to an infinite momentum and the nucleon mass correction. In addition, we test the effect of gauge link smearing in the operator to estimate the influence of the Wilson line renormalization, which is yet to be done.


  • The first rho-resonance study on the lattice
    Resonance Parameters of the rho-Meson from Lattice QCD
    Xu Feng, Karl Jansen, Dru B. Renner
    Published in Phys.Rev.D 83 (2011) 094505
    arXiv:1101.52885

    Another pioneering work, determining the rho-resonance
  • Figure: We show for one ensemble the scattering phases calculated in the CMF, MF1 and MF2 together with the fits to the effective range formula. At the position where the scattering phase passes π/2, the resonance mass (denoted as aMR in the graph) is determined. Through the fit, the coupling constant and decay width are also extracted.

    Abstract
    We perform a non-perturbative lattice calculation of the P-wave pion-pion scattering phase in the rho-meson decay channel using two flavors of maximally twisted mass fermions at pion masses ranging from 480 MeV to 290 MeV. Making use of finite-size methods, we evaluate the pion-pion scattering phase in the center-of-mass frame and two moving frames. Applying an effective range formula, we find a good description of our results for the scattering phase as a function of the energy covering the resonance region. This allows us to extract the rho-meson mass and decay width and to study their quark mass dependence.


  • Flavour decomposition of the proton
    Complete flavor decomposition of the spin and momentum fraction of the proton using lattice QCD simulations at physical pion mass
    C. Alexandrou, S. Bacchio, M. Constantinou, J. Finkenrath, K. Hadjiyiannakou, K. Jansen, G. Koutsou, H. Panagopoulos, G. Spanoudes Published in Phys.Rev.D 101 (2020) 9, 094513
    arXiv:2003.08486

    In this work we perform a complete flavour decomposition at the physical pion mass
  • Figure: The decomposition of the proton spin J. We show the contribution of the up (red bar), down (green bar), strange (blue bar), charm (orange bar), quarks and their sum (purple bar), the gluon (cyan bar) and the total sum (grey bar). The dashed horizontal line indicates the observed proton spin value and the percentage is given relative to the total proton spin. Results are given in MSbar scheme at 2 GeV.

    Abstract
    We evaluate the gluon and quark contributions to the spin of the proton using an ensemble of gauge configuration generated at physical pion mass. We compute all valence and sea quark contributions to high accuracy. We perform a non-perturbative renormalization for both quark and gluon matrix elements.


    • Two-flavor QCD correction to lepton magnetic moments
      at leading-order in the electromagnetic coupling

      Xu Feng, Karl Jansen, Marcus Petschlies, Dru B. Renner
      Published in Phys.Rev.Lett. 107 (2011) 081802
      arXiv:1103.4818

      This work has been awarded the

      Ken Wilson Lattice Award
      The reason given by the panel for awarding this paper was
      “... This is really a new application
      of lattice methods, applied in a
      timely fashion, and making an
      impact on an important (current)
      discrepancy for the muon magnetic moment...”

    • Locality properties of Neuberger's lattice Dirac operator
      Pilar Hernandez, Karl Jansen, Martin Lüscher
      Published in Nucl.Phys. B552 (1999) 363-378
      arXiv:hep-lat/9808010
      This work proved for the first time that Neuberger's lattice Dirac operator is local

      Abstract
      The gauge covariant lattice Dirac operator D which has recently been proposed by Neuberger satisfies the Ginsparg-Wilson relation and thus preserves chiral symmetry. The operator also avoids a doubling of fermion species, but its locality properties are not obvious. We now prove that D is local (with exponentially decaying tails) if the gauge field is sufficiently smooth at the scale of the cutoff. Further analytic and numerical studies moreover suggest that the locality of the operator is in fact guaranteed under far more general conditions.

    • HMC algorithm with multiple time scale integration and mass preconditioning
      Carsten Urbach, Karl Jansen, Andrea Shindler, Urs Wenger
      Published in Comput.Phys.Commun. 174 (2006) 87
      arXiv:hep-lat/0506011
      This work provided a real acceleration of fermion simulation algorithms

      Abstract
      We present a variant of the HMC algorithm with mass preconditioning (Hasenbusch acceleration) and multiple time scale integration. We have tested this variant for standard Wilson fermions at pion masses ranging from 380MeV to 680MeV. We show that in this situation its performance is comparable to the recently proposed HMC variant with domain decomposition as preconditioner. We give an update of the Berlin Wall figure, comparing the performance of our variant of the HMC algorithm to other published performance data. Advantages of the HMC algorithm with mass preconditioning and multiple time scale integration are that it is straightforward to implement and can be used in combination with a wide variety of lattice Dirac operators.

    • Dynamical Twisted Mass Fermions with Light Quarks
      Ph. Boucaud, P. Dimopoulos, F. Farchioni, R. Frezzotti, V. Gimenez, G. Herdoiza, K. Jansen, V. Lubicz, G. Martinelli, C. McNeile, C. Michael, I. Montvay, D. Palao, M. Papinutto, J. Pickavance, G.C. Rossi, L. Scorzato, A. Shindler, S. Simula, C. Urbach, U. Wenger
      Published in Phys.Lett. B650 (2007) 304
      arXiv:hep-lat/0701012 >br>
      This work has been the first ETMC publication proving the
      potential of twisted mass fermions

    • Abstract
      We present results of dynamical simulations with 2 flavours of degenerate Wilson twisted mass quarks at maximal twist in the range of pseudo scalar masses from 300 to 550 MeV. The simulations are performed at one value of the lattice spacing a less then 0.1 fm. In order to have O(a) improvement and aiming at small residual cutoff effects, the theory is tuned to maximal twist by requiring the vanishing of the untwisted quark mass. Precise results for the pseudo scalar decay constant and the pseudo scalar mass are confronted with chiral perturbation theory predictions and the low energy constants F, l3 and l4 are evaluated with small statistical errors.
    • A followup paper, reaching now physical light, strange and charm quarks at their physical value
      Simulating twisted mass fermions at physical light, strange and charm quark masses
      Constantia Alexandrou, Simone Bacchio, Panagiotis Charalambous, Petros Dimopoulos, Jacob Finkenrath, Roberto Frezzotti, Kyriakos Hadjiyiannakou, Karl Jansen, Giannis Koutsou, Bartosz Kostrzewa, Mariane Mangin-Brinet, Giancarlo Rossi, Silvano Simula, Carsten Urbach Published in Phys. Rev. D 98, 054518 (2018)
      arXiv:1807.00495

      It is amazing to me that we can now reach this physical situation
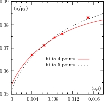
    • Figure: The ratio square of pion mass and the square of the pion decay constant versus the light quark mass.

      Abstract
      We present the QCD simulation of the first gauge ensemble of two degenerate light quarks, a strange and a charm quark with all quark masses tuned to their physical values within the twisted mass fermion formulation. Results for the pseudoscalar masses and decay constants confirm that the produced ensemble is indeed at the physical parameters of the theory. This conclusion is corroborated by a complementary analysis in the baryon sector. We examine cutoff and isospin breaking effects and demonstrate that they are suppressed through the presence of a clover term in the action.



    • Finite size scaling of the quark condensate in quenched lattice QCD
      Pilar Hernandez, Karl Jansen, Laurent Lellouch
      Published in Phys.Lett. B469 (1999) 198
      arXiv:hep-lat/9907022
      This work explored (as the first?) the epsilon regime of QCD

      Abstract
      We confront the finite volume and small quark mass behaviour of the scalar condensate, determined numerically in quenched lattice QCD using Neuberger fermions, with predictions of quenched chiral perturbation theory. We find that quenched chiral perturbation theory describes the numerical data well, allowing us to extract the infinite volume, chiral limit scalar condensate, up to a multiplicative renormalization constant.